Admission Now
|
Subjects
|
Classes
|
Eligibility
|
Fee-Structure
|
Site-Map
|
Available Seats
|
Exams
|
Time-Table
|
Rules
|
NOTICE BOARD
|
Attendance
|
Contact Us
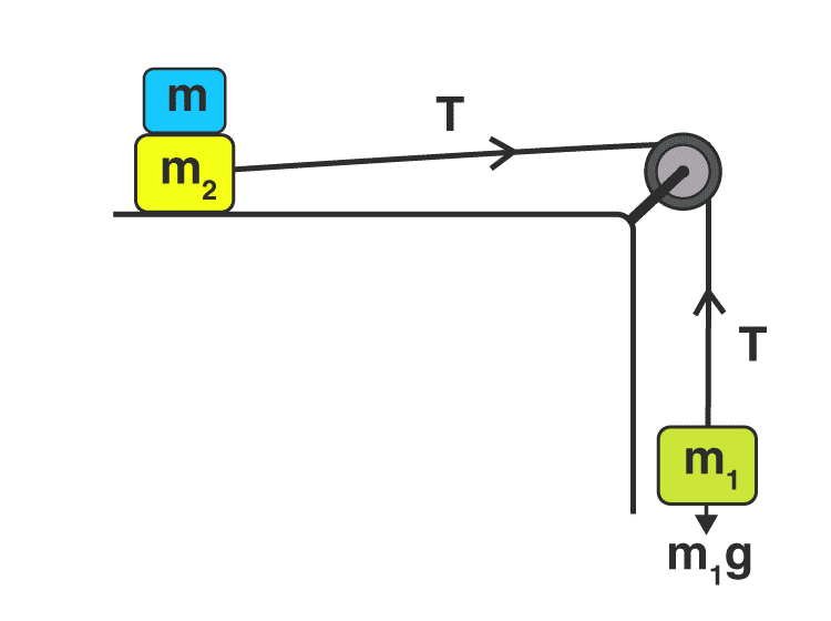
twomassesconnectedbystringoverafrictionlesspulley : Mandakini Study Institute - Patna
MSI Patna Login
Username or email
*
Password
*
Home
Courses Offered
Refund Policy
Activity
FAQ
More
Groups
MSI Patna Blogs
MSI Patna Bookmarks
MSI Patna Files
Online Study
Pages
Photos
Polls
Questions
Students
Support
The Wire
Video Lectures
1 / 3
2 / 3
3 / 3
❮
❯
Physics
twomassesconnectedbystringoverafrictionlesspulley
Download photo
169 views
0 likes
By
MSIPATNA
23 Nov 2024
1 of 2
Select the area that you want to tag or
Quit
.
Type a site member's name in or add a word tag to the photo.
Tag this photo
MSIPATNA
Polls
Questions
Photos
Photo Albums
Activity
MSI Patna Blogs
MSI Patna Bookmarks
MSI Patna Files
Pages
Wire post
All Photos
All Photo Albums